रायपुर, 15 मार्च 2024
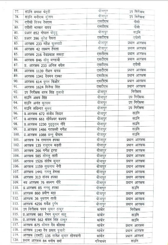
रायपुर पुलिस विभाग में बड़ी संख्या में हुआ प्रमोशन ‘देखें सूची ‘ LIVE EXPRESS CHHATTISGARHMarch 16, 20240 323 रायपुर, 15 मार्च 2024 LIVE EXPRESS CHHATTISGARHMarch 16, 20240 323 Facebook X LinkedIn WhatsApp Telegram Share via Email